Raih keberuntunganmu di STM88 dengan bermain Raja Slot! Nikmati RTP tinggi, kemenangan besar, dan pengalaman bermain yang tak terlupakan.
Rasakan pengalaman raja slot gacor di STM88 dengan peluang jackpot yang menggiurkan.
Nikmati slot online gacor di STM88, rasakan maxwin dan bonus melimpah setiap hari.
Bergabunglah dengan STM88 dan temukan Slot Gacor dengan RTP terbaik! Dapatkan peluang menang yang lebih tinggi dan menangkan hadiah luar biasa.
Slot88 menghadirkan pengalaman berbeda sebagai situs slot gacor terpercaya dengan sistem keamanan ketat, layanan cepat, serta peluang menang tinggi untuk para bettor sejati di Indonesia.
Link slot gacor terbaik hanya ada di situs Tuak88! Daftar sekarang dan nikmati pengalaman bermain dengan RTP tinggi dan peluang menang yang menguntungkan.
Aspiletrein A là một saponin steroid được phân lập từ loài Aspidistra letreae, kết quả nghiên cứu in vitro sơ bộ cho thấy hợp chất này có tác dụng kháng ung thư tốt.
Giá mang 3 chiều làm từ mảng nano hình kim phân cấp Zn-Co-P dùng làm chất xúc tác điện hoá cho phản ứng khử proton thành hydrogen ở cathod trong môi trường kiềm.
Sử dụng vi khuẩn làm tăng biểu hiện và tinh chế albumin tái tổ hợp hoà tan được trong huyết thanh người bằng cách sử dụng protein gắn với maltose và protein disulfide isomerase
Bệnh nhân lao đa đề kháng và đề kháng phổ rộng chịu ảnh hưởng tiêu cực trực tiếp không chỉ bởi bệnh lao và các bệnh cơ hội mà còn các yếu tố chủ quan khác như chi phí y tế, các vấn đề xã hội.
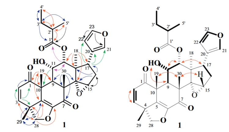
Từ cây Nhãn (Walsura cochinchinensis), 3 hợp chất limonoid mới đã được phân lập, 5rong đó hợp chất walsucochinone C có tác dụng kháng ung thư rất mạnh.
Triclosan (TCS) là một kháng sinh thường dùng trong các sản phẩm chăm sóc cá nhân và gia dụng và trở thành một trong những tác nhân chính gây ô nhiễm môi trường, ảnh hưởng lớn đến sức khỏe con người.